Espace pédagogique

Mutuelle complémentaire santé obligatoire : toutes et tous concernés !

La campagne d’affiliation débute au mois de décembre.

Retrouvez toutes les informations ici 

La notion de choix économique par un exemple.

Une ressource qui permet d'illustrer  la notion de choix économique.



Trains, car ou covoiturage, quel est le plus avantageux ?

 
  • Le reportage de France Télévisions du 26 août 2015 compare trois modes de transport à bas coût entre Paris et Lyon (durée, coût, services, etc.): le TGV (offre Ouigo), le covoiturage et le car. Le reportage permet d'évoquer le raisonnement des économistes (comparaison coût-avantage, préférences, choix sous contraintes).
  • Le comparateur de mobilité www.oui.sncf/train/comparateurco2 permet de compléter les informations du reportage par la prise en compte de l'empreinte environnementale.  

Questions : 

1) Complétez un tableau du type ci-dessous : 

 

Coûts/Inconvénients

Avantages

Choix du TGV (Ouigo)

 

 

Choix du car

 

 

Choix du covoiturage

 

 

2) Quel mode de transport choisiriez-vous ? Justifiez votre réponse en précisant le ou les élément(s) du tableau qui vous importent le plus.

3) Pourquoi constate-t-on des différences dans les réponses pour un même bilan coût/avantages ?

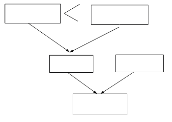
Schéma de synthèse :

Complétez le schéma ci-dessous avec les termes suivants : ressources, préférences, choix sous contraintes, rareté, besoins.

 
Corrigé disponible 

Information(s) pédagogique(s)

Niveau :
2nde
Type pédagogique :
activité de découverte, démarche pédagogique
Public visé :
enseignant
Contexte d'usage :
classe
Référence aux programmes :
Seconde :
  • Comment les économistes, les sociologues et les politistes raisonnent-ils et travaillent-ils ?
  • Comprendre qu’une des questions de base de l’économie est : « Qu’est-ce qu’une allocation efficace des ressources rares ? »