Espace pédagogique

Mutuelle complémentaire santé obligatoire : toutes et tous concernés !

La campagne d’affiliation débute au mois de décembre.

Retrouvez toutes les informations ici 

faire des maths pendant la Ryder Cup 2018

10 problèmes mathématiques du collège au lycée à résoudre en suivant l’actualité sportive (volume 3)

Exercice 1 - Le palmarès de la Ryder Cup

Lecture de tableau et calculs - à partir de la 6e

La Ryder Cup est un trophée de golf créé en 1927, légué par Samuel Ryder, qui récompense tous les deux ans le vainqueur du tournoi qui oppose par équipe l'Europe (en bleu) et les Etats-Unis (en rouge). Du 25 au 30 septembre 2018, 24 golfeurs professionnels (12 de chaque continent) participent à la 42ème édition de la Ryder Cup qui se dispute pour la première fois en France au Golf National en région parisienne.
Le tableau ci-dessous présente le palmarès des 41 premières éditions de cette compétition mais les données sont partiellement masquées par des taches d’encre…

Quelle est le nombre total de victoires européennes depuis la création de la Ryder Cup ?

Exercice 2 - Le parcours de l'Albatros

Moyenne simple et calculs - à partir de la 5e

L'infographie ci-dessous donne des renseignements sur le parcours de l'Albatros (Golf National en région parisienne) et chacun de ses 18 "trous" dont la difficulté (nommée "par") dépend de sa "longueur" (c'est à dire la distance, en mètres, à parcourir entre le tee de départ et le drapeau.
a) Quelle est la "longueur" moyenne d'un trou ce parcours ?
(arrondir la réponse au mètre le plus proche).

Pour chaque trou, le par est le nombre théorique de coups nécessaires pour envoyer la balle dans le trou.
Souvent, un joueur ne réalise pas exactement le nombre de coups attendus. Il peut réaliser :
Un double bogey : +2 coups par rapport au par
Un bogey : +1 coups par rapport au par
Un birdie : -1 coups par rapport au par
Un eagle : -2 coups par rapport au par

Lors d'une session d'entrainement sur le parcours de l'Albatros, Rory McIlroy, l'un des meilleurs joueurs européens, a réalisé 1 double bogey, 3 bogeys, 7 pars, plusieurs birdies, 2 eagles.

b) En combien de coups au total Rory a-t-il réalisé son parcours d'entrainement ?

Exercice 3 - A pleine vitesse !

Vitesse et échelle d'un plan - à partir de la 4e

290 km/h ! C’est la vitesse à laquelle une balle de golf frappée par Tiger Woods, champion de golf américain qui fera un retour remarqué à la Ryder Cup 2018, quitte en moyenne le tee.
A cette vitesse, combien de temps (au centième de seconde près) mettrait une balle de golf pour aller du parking du lycée rue Guitton jusqu’au Greta de Vendée (voir marques sur le plan ci-dessous) ?

Exercice 4 - Y’a de la place pourtant…

Volume et pourcentages - à partir de la 4e

Une balle de golf est assimilée à une boule de diamètre de 43 mm.
Un trou de golf est assimilé à un cylindre de diamètre 108 mm et de profondeur 11 cm.
Lorsqu’une balle tombe dans le trou, quel pourcentage (arrondi à l’unité près) du volume du trou est occupé par la balle ?

Exercice 5 - Du haut de cette pyramide…

Géométrie espace et calcul de distance - à partir de la 3e

Ian s’est amusé à construire une pyramide de balles de golf à base carrée comme le montre la photo ci-contre.
On considère que toutes les balles voisines sont tangentes les unes aux autres et on rappelle qu’une balle de golf est assimilée à une boule de diamètre 43 mm.

a) Combien de balles ont été nécessaires à Ian pour construire sa pyramide ?

b) Quelle est la hauteur totale (arrondie au mm près) de cette pyramide ?

Exercice 6 - Avec un peu de chance…

Probabilité - à partir de la 2nde

Dans un sac opaque, Paul a placé 5 balles de golf blanches,
4 balles de golf jaunes et 3 balles de golf roses.
Il tire au hasard, successivement et sans remise 3 balles de golf.

Quelle est la probabilité que les 3 balles obtenues par Paul
soient de la même couleur ?
(Répondre par une valeur exacte exprimée sous forme fractionnaire)

Exercice 7 - Sur le green

Repérage du plan et calcul de distance - à partir de la 2nde

Le drapeau indiquant l’emplacement du trou sur un parcours de golf est toujours situé sur une zone de gazon très ras, appelé le green.
Cette petite surface, en vert clair sur l’image ci-dessous, permet au joueur de faire rouler la balle avec précision, jusqu’au trou.
L’image suivante montre un green vu de dessus avec un repère orthonormé dont l’unité est le mètre.

Déterminer au cm près, à quelle distance précise du trou se situe la balle.
(La balle et le trou ont des coordonnées entières)

Exercice 8 - La photo d’avant match

Dénombrement - à partir de la 2nde

Avant de débuter le match face à l’équipe des USA, Sergio Garcia, un des golfeurs européens très expérimentés sélectionnés dans l’équipe 2018, propose de faire une photo souvenir de ses onze coéquipiers. Il veut aligner de gauche à droite ses onze partenaires dont les tailles sont, en centimètres, tous les nombres entiers pairs de 170 à 190 (elles sont donc toutes différentes).

La taille de chaque golfeur non placé à l'extrême gauche doit être au plus égale a` la taille de chacun des joueurs placés à sa gauche augmentée de 3 centimètres.

De combien de façons Sergio peut-il aligner ses onze coéquipiers ?

Exercice 9 - Une balle pas si ronde…

Géométrie et arithmétique - à partir de la 1ère

Comme le ballon de football, la balle de golf est considérée comme sphérique.
Mais comme le ballon de football, la balle de golf ne l’est pas tout à fait…

Un ballon de football est en fait composé de plusieurs pièces de cuir planes polygonales (ici 32 polygones) dont certaines sont des pentagones réguliers (ici 12 pentagones noirs entourés donc par 5 autres polygones) et d’autres des hexagones réguliers (ici 20 hexagone blancs entourés donc par 6 autres polygones) assemblés par une couture.

De même, la surface de la balle de golf est composée en moyenne de 432 alvéoles polygonales dont certaines ont une forme d’hexagone (entourées donc par 6 autres alvéoles) et d’autre une forme de pentagone (entourées donc par 5 autres alvéoles).


Parmi ses 432 alvéoles, combien la balle de golf possède-t-elle d’alvéoles hexagonales ?

Exercice 10 - Sortie de Bunker

Fonctions et trigonométrie - à partir de la Terminale

A l’approche du green, les golfeurs trouvent parfois des surfaces de sable sur leur chemin. Ce sont les bunkers. Pour en sortir sans encombre, il faut vraiment être fort et frapper la balle avec un angle permettant de la lever fortement car les bunkers sont souvent creusés profondément dans le parcours…
Willy B, golfeur et mathématicien spécialiste de la sortie de bunker explique les éléments physiques permettant de comprendre sa technique golfique : 


« Dans son sac, un golfeur possède plusieurs clubs pour frapper la balle suivant des angles et des trajectoires différentes. Ces clubs sont numérotés suivant l’inclinaison de la face avec la verticale, appelée « loft », c’est un angle mesuré en degré, repéré par la lettre a. La longueur du manche, appelé « shaft » est d’autant plus long que le loft est petit. Ainsi un club dénommé fer 5 présente par exemple un loft de 25°.
La balle de golf a une masse de 46 g et lorsque je la frappe avec le club, je communique à cette balle une vitesse notée v0.
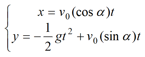
En négligeant tous les frottements, ainsi que les phénomènes de portance de l’air et ceux liés à la surface alvéolaire de la balle de golf ; en reprenant le référentiel terrestre et l’intensité du champ de pesanteur g = 9,81 m.s-2, on peut décrire la trajectoire de la balle dans un repère (O;i ?  ,j ? )   dont l’origine est prise à la position de la balle avant la frappe et en choisissant l’origine des temps t = 0 à l’instant de l’impact du club.  Ainsi les lois de la physique nous permettent de déterminer l’abscisse et l’ordonnée de la balle en fonction du temps t. On considèrera donc que :
                      

1) a) Déterminer l’équation de la trajectoire de la balle, c’est-à-dire l’expression de y en fonction de x.
b) Quelle est la nature de la courbe représentant cette trajectoire ?

2) Application numérique : dans cette question seulement, on prendra a = 25° et v0 = 50 m/s et on donnera les longueurs demandées en mètre, au centimètre près et le temps arrondi au dixième de seconde.
a) Déterminer la hauteur maximale atteint par la balle de golf.
b) Déterminer à quelle distance la balle touchera le sol et au bout de combien de temps en seconde.

3) La balle de golf repose maintenant au fond d’un bunker, constitué d’un bac de sable de profondeur h = 1,60 m.
La balle est à la distance d = 1,25 m de la lèvre du bunker, comme l’indique la figure ci-contre.
Afin de passer l’obstacle, Willy B choisit un « lob wedge » de 60° de loft et il communique à la balle une faible vitesse initiale v'0= 10 m.s-1, la balle atterrit à la distance D du bord du bunker.
a) Ecrire l’équation à laquelle répond la distance D en fonction des valeurs des différents paramètres du problème, valeur du loft, h, d, g et v'0.
b) Calculer la valeur numérique de D et donner le résultat avec 3 chiffres significatifs.

Information(s) pédagogique(s)

Niveau :
tous niveaux
Public visé :
non précisé

Ressources associées

Document(s) complémentaire(s)

  • Fichiers associés

    Fichier PDF
    Fichier au format DOC / DOCX
    les exercices en version PDF et en version DOCX modifiable

    lien de docs