Espace pédagogique

Mutuelle complémentaire santé obligatoire : toutes et tous concernés !

La campagne d’affiliation débute au mois de décembre.

Retrouvez toutes les informations ici 

Matrice associée à une transformation du plan et sa réciproque

Correspondance équation matricielle et système d'équations linéaires ; produit matriciel comme une action géométrique ; interprétation matricielle d'un problème géométrique pour donner du sens à l'inversion d'une matrice.

Plusieurs motivations : correspondance équation matricielle et système d'équations linéaires ; produit matriciel comme une action géométrique ; interprétation matricielle d'un problème géométrique pour donner du sens à l'inversion d'une matrice.

Cette proposition d'activité peut être envisagée sous plusieurs motivations :
  • travailler la correspondance équation matricielle et système d'équations linéaires (question 5) ;
  • penser le produit matriciel comme une action géométrique (ensemble de l'activité) ;
  • utiliser l'interprétation matricielle d'un problème géométrique pour donner du sens à l'inversion d'une matrice (questions 6bc).
Le plan est muni d'un repère orthonormé

On considère la transformation géométrique du plan qui à tout point M de coordonnées
associe le point N de coordonnées :
.

 
1. Définir un point M du plan par ses coordonnées, et calculer les coordonnées du point image N par cette application.

2. Recopier le programme en Python ci-contre  .

Que permet-il de faire ? (Vous pouvez compléter les commentaires)


3. On souhaite maintenant observer l'image d'un carré par cette application.
Modifier le programme ci-contre pour qu'il choisisse au hasard 10000 fois un point dans un carré de côté 10 unités, et affiche son point image par cette application.
Que constate-t-on ?
Peut-on obtenir n'importe quel point du plan par cette application ?

4. A l'aide d'un système d'équations linéaires, montrer qu'il existe un unique point M dont l'image par cette application est N(4 ; 5). Donner ses coordonnées.

Remarque : D'une façon générale, pour un point quelconque N
du plan, on peut montrer qu'il existe un unique point M dont l'image par cette application est N. Les coordonnées du point M sont alors données par les formules :

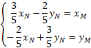
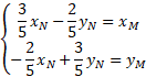
5. Déterminer la matrice A telle que le système d'équations
 
soit équivalent à l'égalité :

De même, déterminer la matrice B telle que le système
 
soit équivalent à l'égalité :

6.
a. Entrer les matrices A et B dans votre calculatrice.
 
Casio TI Numworks
- accéder au menu RUN-MAT
- appuyer sur F3 (>MAT)
- sélectionner une matrice (Mat A, Mat B, …) et entrer ses dimensions, puis ses coefficients.
La matrice est mémorisée ; lors des calculs, appeler la matrice A par SHIFT 2 ALPHA A
- appuyer sur la touche Matrice
- grâce à la flèche droite, accéder au menu EDIT
- sélectionner une matrice ([A], [B], …) et entrer ses coefficients.
La matrice est mémorisée ; lors des calculs, appeler la matrice A par la touche Matrice et choisir [A]
- Appuyer sur la touche "Boîte à outils"
- Sélectionner le menu "Matrice"
- Sélectionner le premier choix obtenu [[1, 2] [3,4]]
 
b. A l'aide de la calculatrice, calculer :


c. Calculer alors la produit matriciel

Le résultat obtenu est-il normal compte tenu de ce qu'il représente géométriquement ?

Les fichiers associés

Fichier PDF
 La fiche qui présente l'activité avec inclus des éléments de réponse.
 Le fichier Python associé

Information(s) pédagogique(s)

Niveau :
tous niveaux
Public visé :
non précisé