Espace pédagogique

Mutuelle complémentaire santé obligatoire : toutes et tous concernés !

La campagne d’affiliation débute au mois de décembre.

Retrouvez toutes les informations ici 

secteurs de disque - une démonstration

Une démonstration liée à une expérimentation pédagogique sur le thème "favoriser l'esprit critique".

Une démonstration liée à une expérimentation pédagogique sur le thème "favoriser l'esprit critique".

Un défi

Une poster est affiché dans les couloir du lycée afin que tout élève puisse y avoir accès et relever le défi.

poster proposant le défi

Une proposition de correction

de S1 jusqu'à S6 en image

Eh non ! S6 n'est pas égal à 32...

un début de conjecture qui est faux pour Sn

On aurait envie de conjecturer que Sn=2n-1 mais pour n=6 la formule devient fausse.
 

Démonstration

On commence par démontrer le lemme suivant dit d’Euler-Poincarré

Pour un graphe du plan dont les arêtes ne se croisent pas, si on note A le nombre d’Arêtes, S le nombre de Sommets et F le nombre de surFace délimitées par les arêtes de ce graphe, on a : F-A+S=1

Démonstration du lemme

On considère un polygone ayant n sommets. Le nombre d’arêtes les reliant est fini donc on peut trouver une droite du plan qui ne soit pas parallèle à une arête du polygone. Quitte à tourner le polygone, on peut choisir
cette droite de manière à ce qu’elle soit horizontale.

On va progressivement déplacer cette droite vers le bas, en gardant sa direction horizontale inchangée, du sommet supérieur du polygone au sommet inférieur.
Quelque soit sa position la droite ne pourra donc pas contenir plus d’un sommet du polygone.
Cette droite va nous servir à dénombrer A, le nombre d’Arêtes, F, le nombre de surFaces et S, le nombre de Sommets.

Dénombrons A, F et S en déplaçant la droite progressivement de haut en bas.

3 cas d'intersection

Quand la droite touche le sommet sans être entrée dans le polygone, la somme F– A+S vaut 1 car S=1, A=F=0.
En entrant depuis le sommet du haut dans le polygone, on a S=1. F, le nombre de surFaces est égal à A-1 car du sommet partent n arêtes et le sommet appartient à n-1 faces.
Donc la somme F– A+S=(A-1)-A+1=0.

Si on continue à faire descendre la « droite de coupe », on ne rencontrera qu’un seul sommet car l’on rappelle que c’est la condition que l’on a imposée lorsqu’on a choisit la direction de cette droite. Lorsqu’on rencontre un sommet dans cette descente, S, le nombre de sommets, s’incrémente de +1 et F-A se décrémente de 1.

sommet qui traverse

A chaque traversée de sommet, S gagne 1, (F-A) gagne -1. Ainsi S-A+F reste égal à 0.

Lorsque la droite traverse le dernier sommet (le plus bas) où il n’y a plus de faces et d’arêtes en dessous, S s’incrémente de 1 mais F-A ne varie pas puisque F et A ne le sont pas.
Ainsi, finalement, F-A+S=1
D’après le lemme, pour calculer le nombre de faces F du graphe il suffit de calculer A et S.

Calcul de S (nombre de surFaces)

Il y a deux types de sommets. Les sommets qui appartiennent au cercle et les sommets qui se trouvent à l’intérieur du cercle.
Le nombre de sommets qui se trouvent sur le cercle est égal à n.
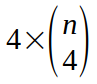
Le nombre de sommets qui se trouvent à l’intérieur du cercle est égal à

combinaison n 4
. En effet un tel sommet est l’intersection de deux segments dont les extrémités sont des points du cercle. Il suffit donc de choisir 4
sommets parmi les n disponibles.
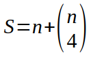
Ainsi
S est égal à n + combinaison 4 n

Calcul de A (nombre d’Arêtes)

Il y a trois types d’arêtes. Les arcs de cercle, les segments qui partent d’un sommet qui appartient au cercle et les segments qui partent d’un sommet qui se trouve à l’intérieur du cercle. On remarque qu’un de ces segments peut avoir pour extrémité un point du cercle et un point à l’intérieur du cercle.
Le nombre d’arc de cercle est égal à n.
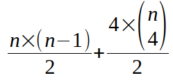
Le nombre de segments qui partent d’un sommet qui appartient au cercle est égal à

n fois n moins 1
.
Le nombre de segments qui partent d’un sommet qui se trouve à l’intérieur du cercle est égale à
4 fois combinaison n 4
.
Dans le dénombrements précédent, les segments ont été comptés deux fois. Donc le nombre de segments est égal à
formule définissant le nombre de sommet

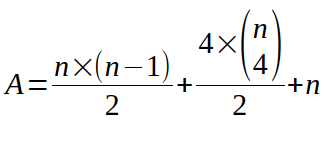
Ainsi, le nombre d’arêtes est égal à

valeur de A
ou encore
valeur de A

Calcul de F (le nombre de SurFaces)


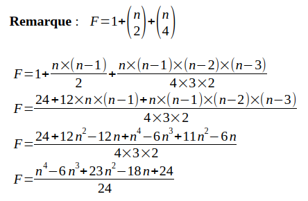
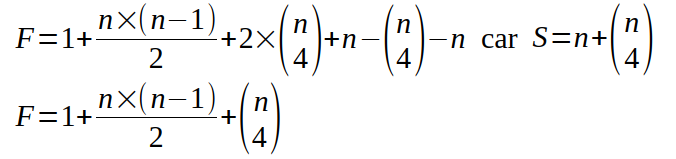
Par suite, comme F=1+A-S, on en déduit que :


remarque


Pour n=6, le nombre de surFaces est égal à :

 


Les fichiers associés
Fichier PDF
La présente démonstration (188 ko)
 

Information(s) pédagogique(s)

Niveau :
tous niveaux
Public visé :
non précisé