Les 3 enfants Horatio, William et Juliette ont respectivement 5, 9 et 11 ans. On décide de partager 100 chocolats dans le ratio « de leurs âges » 5:9:11 Combien de chocolats aura chaque enfant ?
Eléments de réponses
Méthode 1
5 + 9 + 11 = 25 et 25×4 = 100
Donc Horatio aura 5×4 soit 20 chocolats. William aura 9×4 soit 36 chocolats. Juliette aura 11×4 soit 44 chocolats.
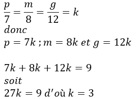
Méthode 2
donc soit d'où
Donc Horatio aura 5×4 soit 20 chocolats. William aura 9×4 soit 36 chocolats. Juliette aura 11×4 soit 44 chocolats.
Ciment
Voici une photo d'un sac de ciment avec les dosages préconisés pour 2 types de béton :
Il y a un moyen facile de retenir le dosage du béton : les volumes de ciment, de sable et de gravillon sont dans le ratio 1:2:3, à quel type de mélange correspond ce dosage ?
Compléter la phrase suivante : le béton de fondation s'obtient avec un volume de ciment, de sable et de gravillon dans un ratio 14 : …… : …….
Eléments de réponses
Commentaires L'ordre des différents ingrédients sur l'image n'est pas le même que celui donné dans les ratios. Cela peut poser problème aux élèves. Ceci est d'autant plus vrai sur la dernière question (on passe de 2 seaux de ciments à 14 seaux de ciments) 1ère question :
2nde question :
Méthode 1
Pour passer de 2 sacs de ciment à 14 sacs de ciment on multiplie tous les ingrédients par 7. On obtient 2:5:7 devient 14:35:49.
Méthode 2
donc on obtient s = 35 et g = 49. d'où un ratio de 14:35:49.
Triangles semblables
Dessiner un triangle dont les côtés sont dans le ratio 3:4:5 et dont un côté mesure 8cm. Possibilité de différencier : le plus grand côté mesure 8cm, choisir des valeurs avec des coefficients plus ou moins simples.
Dessiner un triangle dont les côtés sont dans le ratio 2:5:6 et dont le périmètre mesure 26 cm.
Dessiner un triangle dont les côtés sont dans le ratio 7:8:12 et dont le périmètre mesure 9 cm.
Eléments de réponses
Approche 1
7 + 8 + 12 = 27 et 9 = 27÷ 3
Donc
Approche 2
Donc
Approche 3
Cela revient à chercher un triangle semblable au triangle de périmètre 7+8+12=27 mais dont le périmètre est 9. Le périmètre est 3 fois plus petit donc les côtés sont 3 fois plus petits.
Donc
Juliette a dessiné un triangle ABC dont les côtés sont dans le ratio 2:6:7. Est-il semblable au triangle TRI dont voici un schéma à main levée ?
Qu'est-ce qu'un triangle dans le ratio 1:1:1 ?
Qu'est-ce qu'un triangle dans le ratio 1:3:3 ?
Pierre dit qu'il a tracé un triangle dans le ratio 1:1:3. Qu'en pensez-vous ?
Eléments de réponses
Un triangle dans le ratio 1:1:1 est un triangle équilatéral.
Un triangle dans le ratio 1:3:3 est un triangle isocèle.
Attention un triangle dans le ratio 1:1:3 n'existe pas (inégalité triangulaire non vérifiée).
Remarque des élèves : "nous on connait le ratio avec le jeu Fortnite"
Dans le jeu Fortnite et sur des sites de statistiques liés au jeu il est question de ratio. Il peut être intéressant d'attirer l'attention des élèves ou de répondre à leurs questionnements sur le point suivant :
Un joueur qui aurait fait 63 « tués » (kills) et aurait été lui « tué » 69 fois (deaths) son ratio tués : morts serait de 63:69 ce qui revient au ratio 0,91:1 d’où l’affichage.
Un joueur qui aurait fait 93 « tués » (kills) et aurait été lui « tué » 59 fois (deaths) son ratio tués : morts serait de 93:59 ce qui revient au ratio 1,58:1 d’où l’affichage.