Espace pédagogique

rentrée 2020 - Focus 3e

Priorités pédagogiques et outils de positionnement pour la période septembre-octobre pour la classe de 3e : expressions littérales.

Les ressources publiées sur ce site sont sous la licence CC BY-NC 4.0.
 

Le calcul littéral est installé depuis l’année de 5e dans le paysage mathématique des élèves.

Le document « attendus de fin de 4e » indiquent :
Ce que sait faire l’élève
  • Il identifie la structure d’une expression littérale (somme, produit).
  • Il utilise la propriété de distributivité simple pour développer un produit, factoriser une somme ou réduire une expression littérale.
  • Il démontre l’équivalence de deux programmes de calcul.
  • Il introduit une lettre pour désigner une valeur inconnue et met un problème en équation.
  • Il teste si un nombre est solution d’une équation.
  • Il résout algébriquement une équation du premier degré.
Les repères annuels de cycle 4 indiquent notamment, pour les classes de 5e, 4e et 3e (de gauche à droite dans le tableau)
Le site de l’académie de Nantes propose différentes pistes permettant de le travailler avec les classes, par exemple en questions flash :


Exemple 1 Le tableur : par exemple avec des questions du type
Observer l’image tableur


Que va-t-il s’afficher en D2 ?
En étirant la cellule D2 vers le bas, que va-t-il s’afficher en D3 ? D4 ?

Exemple 2 Comprendre le sens de la lettre :
Le nombre 2 est-il solution de l’équation 2a²-3a-5=1 ? Justifier.

Exemple 3 Les contre-exemples : des vrai/faux tels que

Aspect essentiel pour la formation des élèves

Il s’agit ici de tester des valeurs, de façon réfléchie, pour montrer que ces inégalités sont fausses. Cela peut aussi être effectué à l’aide d’un tableur.
Les inéquations ne relèvent pas du programme de cycle 4. Toutefois, dans le cadre du travail sur la notion d’expression littérale et du sens de celles-ci, il peut être pertinent, éventuellement dans le cadre de la prise en compte de la diversité des élèves, de proposer des situations amenant à des inégalités et inéquations. Commencer, sans les résoudre, à construire la signification de telles équations permet de préparer l’approche qui sera faite en classe de 2nde.

Exemple 4 L’algorithmique : un script tel que celui-ci donne une entrée sur le calcul littéral.


Exemple 5
Des gammes : l’idée des gammes est de proposer aux élèves des travaux pour construire des automatismes en autonomie. Cela facilite aussi un travail prenant en compte la diversité des élèves.

Certaines questions sur les égalités remarquables seront à traiter avec discernement en 3e, dans le cadre de la prise en compte de cette diversité.

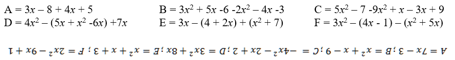
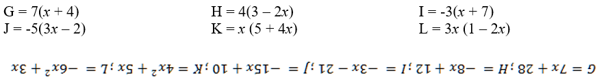
Par exemple : réduire
Ou encore, en utilisant la distributivité :



Exemples de gammes à retrouver en bas du présent document.

Information(s) pédagogique(s)

Niveau :
Cycle 4, 3ème
Public visé :
non précisé

Ressources associées

  • rentrée 2020

    • tous niveaux
    • Cycle 3
    • Cycle 4
    • 6ème
    • 5ème
    • 4ème
    • 3ème
    • 2nde
    • non précisé

Document(s) complémentaire(s)

  • Fichier(s) associé(s)

    gammes autour du calcul littéral

    lien de docs