Espace pédagogique

Mutuelle complémentaire santé obligatoire : toutes et tous concernés !

La campagne d’affiliation débute au mois de décembre.

Retrouvez toutes les informations ici 

A partir d'un complexe de module 1

Il s'agit d'une activité de synthèse sur les nombres complexes. Les élèves ont choisi de commencer à explorer cette situation en utilisant un logiciel de calcul formel. Une fois la conjecture énoncée, les stratégies de preuves ont été très variées.

Enoncé l'activité


z est un nombre complexe  de module 1 et distinct de 1.
Etudier le nombre complexe :
 

Objectifs


Cette activité a été testée en milieu d'année en Terminale S alors que les chapitres sur les nombres complexes sont terminés. Les élèves sont en demi-classe , en salle informatique. Il s ont déjà un peu utilisé un tableur, Xcas , Géogébra et GéoplanGéospace (version gratuite avec possibilité d'utiliser les complexes).
Il s'agit d'une activité de synthèse sur les nombres complexes : c'est l'étude de différentes stratégies qui fait la richesse de cette situation.

Scénario


Les élèves font quelques essais en choisissant quelques nombres complexes de module 1: z = i, z = - i, z = -1 .
Les calculs sont faits à la main. Ils ont ensuite quelques difficultés pour trouver d'autres complexes de module 1 : ils pensent à 
et le calcul devenant plus long, certains choisissent d'ouvrir Xcas.

Des conjectures sont avancées.  Pour tout complexe z de module 1 et distinct de 1 :
  • On dirait que : f(conj(z))= - f(z)
  • On dirait que : f(conj(z))= conj( f(z))
  • On dirait que f(z) est imaginaire pur
Remarque : ces trois conjectures sont équivalentes.

D'autres essais semblent nécessaires,  il faut donc rechercher d'autres complexes de module 1.

Nouvelle idée : l'écriture exponentielle ( si elle fonctionne avec Xcas ).
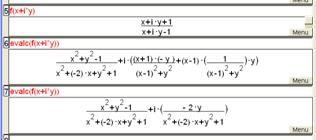
Ils obtiennent un résultat réconfortant pour
, étonnant pour
mais les commandes  evalc ou approx permettent de continuer... La partie réelle de 
semble bien nulle.

La conjecture f(z) est imaginaire pur sort renforcée.

L'idée de généraliser avec 
apparaît enfin. La partie réelle de 
semble nulle.
Les élèves effectue la preuve à la main en utilisant

Une première preuve est établie :  f(z) est bien imaginaire pur.




Certains ont pensé à la notation algébrique mais
oublient dans un premier temps que 
...

Finalement, une deuxième preuve est établie.







Une troisième piste
En commençant par poser
, un élève a fait des calculs qui revenaient (sans l'exprimer clairement) à exprimer z en fonction de t.
En avançant dans cette voie, et en remarquant que t ne peut pas être égal à 1, il trouve
, ce qui l'étonne ...
et conduit à l'idée que 
. On peut vérifier par exemple avec Xcas (Voir l'annexe).
En appelant I le point d'affixe 1, K le point d'affixe -1, M le point d'affixe z et N le point il obtient :
.
Dire que le module de z est égal à 1 revient à dire que NK=NI ou encore que N appartient à la médiatrice du segment [KI], donc à l'axe des ordonnées. Ce qui assure que t est imaginaire pur.

Une quatrième piste
Après avoir conjecturé que
est un imaginaire pur, un élève découvre ce joli raisonnement géométrique :
En appelant I le point d'affixe 1, K le point d'affixe -1, M le point d'affixe z et m le point d'affixe - z, on peut écrire :  

D'où :  
.
Ce qui achève la preuve car le triangle IMm étant rectangle en I,
donc
est bien un imaginaire pur.



Une cinquième piste
(que j'attendais plus tôt) : utilisation d'un logiciel de géométrie dynamique .

Le plus adapté est  GéoplanGéospace qui permet une conjecture très rapide.

(Avec géogébra, il peut y avoir couplage avec un logiciel de calcul formel voir le scénario complet)

Une sixième piste avec les conjugués.
Pour tout complexe z de module 1, on a 
et comme z est distinct de 1 :

ce qui assure que 
est imaginaire pur.

Compétences expérimentales


  • Faire des essais pour énoncer, renforcer, tester une conjecture.
  • Utiliser différentes écritures d'un même nombre
  • Prendre l'initiative de mobiliser un logiciel de géométrie dynamique pour illustrer la situation.
  • Prendre l'initiative de mobiliser le calcul formel pour obtenir rapidement un grand nombre de résultats .
  • Prendre l'initiative de mobiliser le calcul formel pour accompagner un calcul « à la main ».

En guise d'évaluation

Rédiger deux preuves différentes de la conjecture trouvée.

Information(s) pédagogique(s)

Niveau :
Terminale S
Type pédagogique :
non précisé
Public visé :
enseignant, élève
Contexte d'usage :
non précisé

Document(s) complémentaire(s)

  • Les fichiers associés

    Le scénario complet

    Une autre version du scénario
    Un fichier Géoplan
    Un fichier Dérive
    dfw

    lien de docs