Espace pédagogique

Mutuelle complémentaire santé obligatoire : toutes et tous concernés !

La campagne d’affiliation débute au mois de décembre.

Retrouvez toutes les informations ici 

en route vers Pi

Etude de différentes suites numériques dont la limite tend vers pi.

Objectif


Il s’agit ici de proposer trois exemples de suites numériques dont la limite dépend de 
.

L’idée est à chaque fois de construire les premiers termes sur papier puis d’utiliser un logiciel de programmation pour allez plus loin.

  • En Première S, ces activités peuvent servir d’exemples de constructions récurrentes. On peut aussi donner ainsi une première idée de la notion de limite et de seuil.
  • En Terminale S, le travail pourra être repris pour créer un programme de dépassement d’un seuil fixé de manière automatique.

Activité n°1


On définie la suite (
) par l’écriture suivante :


 
Les premiers termes de cette suite sont donc 
= 1 et 
=
.
  1. Calculer les termes 
    et 
    .
  2. On définit la suite 
    pour n entier. Décrire ces nombres d’une phrase la plus simple possible.
  3. On peut alors remarquer que la suite (
    ) peut être définie plus facilement pour les deux conditions :
 
  1. Compléter l’algorithme suivant pour que la variable I soit égale à 
    à la fin de l’exécution.

 
  1. Avec Python, programmer une fonction I(n) qui prend une valeur n en entrée et calcule ensuite
    . On peut se rappeler que la puissance en Python s’écrit **.
  1. Pour chaque valeur de
    calculée, regarder la valeur de 4
      . Qu’observe-t-on lors que n est de plus en plus grand (10,100,... par exemple) ?


Exemples de programmes





La suite (
)

Calcul des termes jusqu’à avoir une variation faible

Activité 2


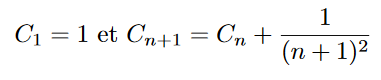
On définie la suite 
par l’écriture suivante :

Les premiers termes de cette suite sont donc
.

  1.  Calculer les termes C3 , C4 et C5 .
  2. On peut remarquer que la suite
    peut être définie plus facilement pour les deux conditions :
  1. Compléter l’algorithme suivant pour que la variable C soit égale à C10 à la fin de l’exécution.


  2.  Avec Python, programmer une fonction C(n) qui prend une valeur n en entrée et calcule ensuite Cn. On peut se rappeler que la puissance en Python s’écrit **.
  1. Pour chaque valeur de Cn calculée, regarder la valeur de 
    (il faudra importer la bibliothèque math pour le faire avec Python). Qu’observe-t-on lorsque n est de plus en plus grand (10,100,... par exemple) ?

  2. On peut définir la somme Kn des n premiers inverses des carrées des nombres impairs. Programmer alors la suite Kn puis calculer


Exemples de programmes



La suite (Cn)
La suite (Kn)

Activité n°3


On définie la suite (Rn) par les conditions suivantes :

  1. Le terme
    admet une limite lorsque n tend vers 
    .
    Indications : Vous pourrez créer un programme Python qui calculera une valeur approchée de Rn pour n choisi.

  2. Pour des élèves de Terminale S, on peut montrer que la suite  (Rn) est croissante et majorée par 2. La suite  (Rn) converge donc bien.


Exemples de programmes


La suite (Rn)

Information(s) pédagogique(s)

Niveau :
tous niveaux
Public visé :
non précisé

Document(s) complémentaire(s)