Espace pédagogique

Mutuelle complémentaire santé obligatoire : toutes et tous concernés !

La campagne d’affiliation débute au mois de décembre.

Retrouvez toutes les informations ici 

Maths à l'oral : une coopération autour de tableaux blancs

Il s’agit d’une des trois expérimentations différentes qui ont été menées au sein du lycée Rosa Parks de la Roche-sur-Yon, autour de l’axe de travail du laboratoire.

Une expérimentation du lycée Rosa Parks de la Roche-sur-Yon.

Il s’agit d’une des trois expérimentations différentes qui ont été menées au sein du lycée Rosa Parks de la Roche-sur-Yon, autour de l’axe de travail du laboratoire : 

Utiliser et développer les compétences orales pour progresser en mathématiques

Objectifs et concept

La réflexion originelle de cette expérimentation est la suivante : bien souvent face à leurs problèmes de mathématiques, les élèves restent parfois bloqués, ne voient plus comment avancer et s’arrêtent net. L’idée est de leur proposer et leur montrer une autre façon de travailler en équipe avec d’autres camarades pour solutionner des problèmes compliqués.
Le concept est le suivant : on pose un problème difficile et ouvert aux élèves, on les regroupe par quatre devant un tableau blanc et on leur demande de réfléchir autour du tableau. Pas de feuille individuelle autorisée. Le collègue à l’initiative de cette expérimentation fonctionnait ainsi lors de ses études supérieures lorsqu’il fallait travailler les TD ou comprendre des démonstrations.

Déroulements et analyses

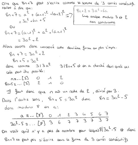
Première expérimentation autour d’un problème d’arithmétique en Maths Expertes

Le problème posé était le suivant :
Quels sont les nombres de la forme 8n+7 où n est un entier, qui soient égaux à la somme de trois carrés d’entiers consécutifs ?

Les 24 élèves d’option maths expertes étaient répartis en 6 groupes de 4 élèves chacun devant un tableau blanc répartis sur deux salles contigües. Les groupes ne sont pas imposés par l’enseignant pour favoriser un climat de confiance au sein des élèves de chaque groupe.

oral sur tableau blanc


 

Bilan

Le bilan de l’activité était positif, la plupart des groupes sont parvenus à trouver la solution des problèmes même dans les groupes qui contenaient des élèves plus en difficultés, bien que dans ce cas, ce soit les élèves à l’aise qui prenaient le leadership du groupe. Autres écueils, les élèves découvraient le problème en direct au tableau et réfléchissaient à la volée ; certains groupes ont trouvé la solution assez rapidement, le problème n’était pas forcément consistant ; dernier souci : certains groupes étaient très proches physiquement et donc il y a eu des communications d’un groupe à un autre, ce qui n’était pas le but.
Les points positifs : les élèves ont compris le besoin de s’exprimer clairement à l’oral pour se faire comprendre de leurs camarades, la posture debout et le partage d’un seul tableau permettaient à chacun d’apporter ses idées et de rectifier celles des autres au besoin. La possibilité d’effacer permet aussi d’essayer des choses, se rendre compte que ça n’aboutit pas et essayer de trouver un autre cheminement.
 

Exemple de production d’élèves

production d'élèves

Remarque et conseil

Il convient de s’adapter à la classe et bien choisir les sujets de sorte qu’ils soient suffisamment compliqués pour ne pas être résolus très rapidement par les meilleurs élèves, mais sans être trop compliqués pour qu’ils puissent tout de même parvenir à résoudre le problème. Par exemple, l’année suivante, le groupe de maths expertes étant d’un très bon niveau, deux autres problèmes d’arithmétique ont été ajoutés à ce sujet et certains groupes sont parvenus à résoudre les trois problèmes :
1 299 577 est-il un carré parfait ?
Un nombre palindrome est un nombre qui se lit indifféremment de gauche à droite ou de droite à gauche. Par exemple, 2002, 12321 sont des nombres palindromes. Prouver qu'un nombre palindrome ayant un nombre pair de chiffres est divisible par 11.

Deuxième expérimentation autour d’un problème de nombres complexes en Maths Expertes

Tenant compte des observations faites à la première phase, une deuxième expérimentation a été mise en place. Le problème posé était le suivant :
Soit z un nombre complexe qui s’écrit z = x + iy avec x et y réels. Déterminer en fonction de x et y la forme algébrique du ou des nombres complexes dont le carré est égal à z.

Cette fois, il y a eu un premier temps de recherche d’environ 10-15min, individuel et sans aucune communication autorisée afin que les élèves s’emparent du problème et réfléchissent à des débuts de pistes et de réflexions sur une feuille. Ensuite on forme les groupes comme dans la première expérimentation, chacun laisse sa feuille à son bureau et on applique le même procédé. Cette fois le problème était plus consistant et pouvait être abordé par plusieurs angles. Il a fallu débloquer certains groupes en évoquant la piste du module des nombres complexes.

15min avant la fin de la séance les élèves stoppaient le travail de groupe et revenaient à leur feuille sur laquelle ils avaient noté leurs premières idées et tentaient de répondre de nouveau au problème à la suite de la phase de réflexion en groupe.

Bilan

Le bilan a de nouveau été très positif, aucun n’a réussi à trouver et rédiger la solution complète dans le temps imparti, mais la comparaison, avant/après le travail de groupe, est flagrante. La plupart des élèves ont au moins réussi à démarrer la résolution et certains étaient proches de la résolution finale alors que beaucoup n’avaient pas ou peu d’idée au démarrage de l’activité.

Les élèves ont apprécié cette façon de travailler, disant d’eux-mêmes que le travail en groupe de cette façon était constructif et permettait aux élèves bloqués d’avancer et de comprendre et développer leurs idées grâce à leurs camarades (même si la rigueur à l’oral et au tableau n’était pas toujours présente). Certains élèves ont d’ailleurs reproduit ce schéma plus tard dans l’année pour travailler sur les devoirs sur temps libre ou les exercices donnés à faire à la maison en se réunissant autour d’un tableau blanc au CDI.

Le bilan de la discussion en laboratoire a posteriori est que cette expérience mériterait d’être généralisée à d’autres niveaux, plus tôt dans l’année avec une certaine régularité. Les inconvénients de ce dispositif sont la nécessité de disposer de plusieurs tableaux et de superviser l’ensemble des groupes en action. Les avantages sont de proposer une autre méthode de travail, utiliser les compétences orales pour développer des idées claires, échanger avec les camarades et rectifier des pistes de recherche, la posture debout et la visibilité du tableau par l’ensemble du groupe accroissent l’engagement des élèves dans l’activité.
 

En classe de 2nde

L’expérience a été menée ensuite en classe de 2nde pendant les séances en demi-groupe par plusieurs collègues avec quelques variations de modalités :

Collègue 1

Pas de document donné aux élèves, les problématiques communes à tous les groupes étaient écrites au tableau en l’occurrence les questions étaient :
Quels sont les nombres entiers qui admettent un nombre impair de diviseurs ? En particulier quels sont ceux qui admettent exactement trois diviseurs ?

Attendus

Il était demandé à chaque groupe de rendre à la fin de la séance sur une feuille la rédaction soit des traces de recherches et des éventuelles conjectures formulées ou pour les plus à l’aise d’une démonstration des conjectures formulées.

Bilan du collègue 1

La séance a été très productive et les élèves très actifs. Il y a eu beaucoup d’interactions orales entre eux : des propositions de pistes de résolution, des rectifications, des ajustements, des discussions autour de la formulation des phrases pour la rédaction de la réponse.

Tous les groupes sont au moins parvenus à conjecturer les réponses aux problèmes. Certains groupes avec des éléments plus solides sont parvenus à rédiger des démonstrations propres, ce qui a permis aux autres élèves de mieux comprendre les attendus de la rédaction d’une démonstration.
 

oral sur tableau blanc

Collègue 2

Chaque groupe n’a pas la même question à résoudre de sorte que deux groupes côte à côte physiquement n’aient pas le même sujet. Les deux sujets étaient :
Sujet 1 : On considère l’expression E = n^2 - 1 pour tout entier n>0. L’objectif de votre recherche est de déterminer si E est divisible par 8.
Sujet 2 : On considère l’expression H = (n+1)(n+2) pour tout entier n>0. L’objectif de votre recherche est de déterminer si H est divisible par 6.

Attendus

1ère étape : comprendre le problème et faire des tests (plutôt bien effectué dans l’ensemble)
2ème étape : réfléchir à une méthode de démonstration
3ème étape : commencer et si possible terminer la démonstration.
Un document papier présenté ci-dessous est distribué, mais seulement une fois que la 1ère étape est effectuée, et la 2ème étape bien avancée. Ce document permet de clarifier ou/et aider les élèves dans leur démonstration.

TD multiple - diviseur

TD multiple - diviseur

Bilan

Les élèves ont été actifs et se sont bien pris au jeu dans l’ensemble. Les groupes étant constitués d’élèves de niveau varié autant que faire se peut.
Ils ont, semble-t-il, perçu cette séance comme un challenge, un défi (sauf un groupe qui n’a pas su s’intéresser au problème)
Cette activité ayant eu lieu un lundi, les élèves devaient « travailler » leur intervention orale devant la classe pour le vendredi, tout le groupe passant au tableau. Deux groupes sont passés le vendredi (pas le temps d’en faire passer plus). La prestation des deux groupes était relativement correcte, un groupe ayant fait un très bon travail avec une présentation de qualité : prestation orale et écrite au tableau.
 

Information(s) pédagogique(s)

Niveau :
tous niveaux
Public visé :
non précisé