Espace pédagogique

Mutuelle complémentaire santé obligatoire : toutes et tous concernés !

La campagne d’affiliation débute au mois de décembre.

Retrouvez toutes les informations ici 

Algèbre 4eme temps 4

Dans le cadre des TraAM 2012-2013, une proposition de progression pour aborder l'algèbre en quatrième.

Dans le cadre des TraAM 2012-2013, une proposition de progression pour aborder l'algèbre en quatrième.

L'objectif de cette période est la découverte de la double distributivité et à nouveau un temps de travail sur les développements et réductions d'écritures littérales.

a) On peut poursuivre, en activités rapides, le travail utilisant la distributivité et plus particulièrement la partie développement.

b) On peut introduire la double distributivité de plusieurs façons :
 
  • à l'aide d'une situation géométrique (aire des rectangles).
     
illustration algèbre
Exemple 1 : Calculer l'aire du grand rectangle ci-contre.
 
  • On peut aussi privilégier des points de vue numériques, utilisant la simple distributivité :
     
Exemple 2 : On donner à développer les trois expressions. On les corrige. On interroge les élèves sur leurs idées pour développer la quatrième expression.

(4x+3)×A=4x×A+3×A
4x×(2x+5)=8x^2+20x
3×(2x+5)=6x+15
(4x+3)×(2x+5)=

Exemple 3 : On fait développer d'abord : 2x(x+3) et 7(x+3) puis on demande de trouver le lien avec (2x+7)(x+3).


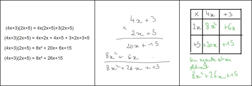
c) Une fois la double distributivité introduite, il est utile de varier les approches techniques :
Exemple pour (4x+3)(2x+5) :

illustration algèbre
         

Voici quelques liens vers des gammes et des activités rapides que l'on peut mener à ce stade de l'année de 4ème :
Temps4_développer          temps4_factoriser        (à mettre en ligne puis hyperlien)

Quelques activités que l'on peut mener à ce stade de l'année de 4ème


Double distributivité (proposé par l'académie d'Amiens : activité en bas de page)

Une boule a été posée sur du sable supposé parfaitement plat. En enlevant la boule, on observe cette forme en cuvette :

La profondeur CB de la cuvette est 1cm. Le rayon AC
de la cuvette est 4cm. Quel est le rayon de la boule ?

Fichier PDF
Fichier au format DOC / DOCX
 Développer
Fichier PDF
Fichier au format DOC / DOCX
 Factoriser

Information(s) pédagogique(s)

Niveau :
tous niveaux, 4ème
Public visé :
non précisé

Ressources associées