Tobogan, math et python ? Un mélange fort intéressant.
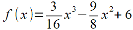
On souhaite construire un toboggan pour enfant. La forme de ce toboggan est celle de la représentation graphique de la fonction f sur [0;4] où f(x) est définie sur R par :
L'unité graphique est le mètre.
1. Quelle est la hauteur maximale de ce toboggan en mètre ? 2. Quelle est sa pente moyenne en degré ? 3. De manière à assurer une bonne glisse, on a recouvert la pente d'une plaque d'aluminium rectangulaire de largueur 60 cm. a. Quelle est la longueur de cette plaque arrondie au millimètre ? On pourra utiliser Python pour calculer cette longueur. b. Donner alors l'aire de la plaque d'aluminium en m².
# -*- coding: utf-8 -*-
#------------------------------------------------------------------------------------------- # Nom du programme : # Version : # Objectifdu programme : # # Auteur: # date de création : #-------------------------------------------------------------------------------------------
#-------------------------------------------------------------------------------------------- #Importation des bibliothèques nécessaires au fonctionnement du programme #--------------------------------------------------------------------------------------------
#Bibliothèque mathématiques #https://docs.python.org/fr/3.5/library/math.html from math import*
#Bibliothèque random #https://docs.python.org/2/library/random.html from random import*
#Autres bibliothèques
#-------------------------------------------------------------------------------------------- #Création des fonctions Python nécessaires au fonctionnement du programme #--------------------------------------------------------------------------------------------
#Fonction qui ....
#Fonction qui ....
#------------------------------------------------------------------------------------------- #Programme principal #-------------------------------------------------------------------------------------------